Skip to content
프로젝트 개요
팀원 소개
성과물 소개
한국어 코퍼스 검색기
구현 프로그램
오시는 길
프로젝트 개요
팀원 소개
성과물 소개
한국어 코퍼스 검색기
구현 프로그램
오시는 길
성과물 소개
출판 논문
저서 & 역서
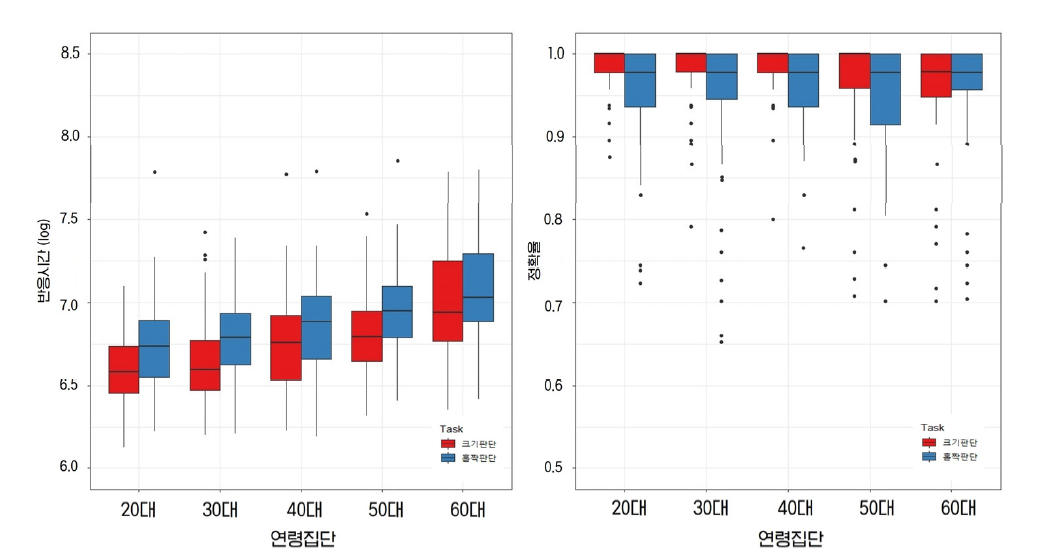
전환 과제 수행에서 나타난 노화와 인지 통제 능력의 관계: 웹기반 실험 연구로부터의 증거
작성자
nudge
작성일
2023-07-07 11:29
조회
157
[성과물]
전환 과제 수행에서 나타난 노화와 인지 통제 능력의 관계: 웹기반 실험 연구로부터의 증거
[팀원]
태진이, 백현아, 이윤형, & 최원일
[연구시기]
2022
[학술지]
한국심리학회지: 일반, 41(5), 491-517.
좋아요
0
싫어요
0
인쇄
목록보기
이전
다음
📊 문장 예측 실험
프로젝트 개요
팀원 소개
성과물 소개
한국어 코퍼스 검색기
구현 프로그램
오시는 길
프로젝트 개요
팀원 소개
성과물 소개
한국어 코퍼스 검색기
구현 프로그램
오시는 길
Tel
062)715-3942
Mail
wichoi@gist.ac.kr