Skip to content
프로젝트 개요
팀원 소개
성과물 소개
한국어 코퍼스 검색기
구현 프로그램
오시는 길
프로젝트 개요
팀원 소개
성과물 소개
한국어 코퍼스 검색기
구현 프로그램
오시는 길
성과물 소개
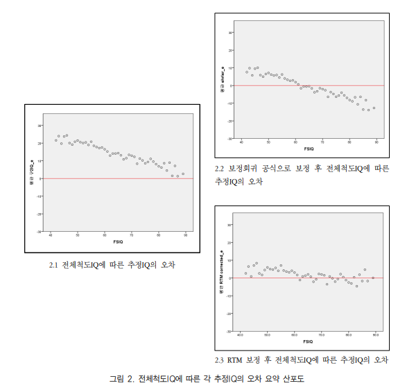
K-WAIS-IV 단축형 지능검사의 IQ 추정 오차와 보정 방안
대표적 논문 & 역서
작성자
nudge
작성일
2023-06-08 15:34
조회
26
[성과물]
K-WAIS-IV 단축형 지능검사의 IQ 추정 오차와 보정 방안
[팀원]
여환홍, & 이윤형
[연구시기]
2021
[학술지]
한국심리학회지: 일반, 40(2), 131-153.
인쇄
«
Perceived conflict may be negative but resolved conflict is not
한국어 문장 읽기에서 음운 정보와 철자 정보의 미리보기 효과: 안구운동 추적연구
»
목록보기
📊 문장 예측 실험
프로젝트 개요
팀원 소개
성과물 소개
한국어 코퍼스 검색기
구현 프로그램
오시는 길
프로젝트 개요
팀원 소개
성과물 소개
한국어 코퍼스 검색기
구현 프로그램
오시는 길
Tel
062)715-3942
Mail
wichoi@gist.ac.kr